Postingan

Menampilkan postingan dari Agustus, 2022

Units To Kwh Calculator

Gambar
Units To Kwh Calculator . For calculating units the load used by you in kw multiple it with respect to hours. With your permission we and our partners may use precise. Billing issues and questions ScottishPower from www.scottishpower.co.uk The base unit of the kilowatt is the watt, which was named after scottish inventor james watt. A kilowatt is a multiple of a watt. So you get the units mentioned in electricity bill.

Home Loan Repayment Calculator St George

Gambar
Home Loan Repayment Calculator St George . Here are the pros and cons of st. Once that application is submitted, a home loan expert from st. Home Loan St Home Loan Calculator from homeloanyayukika.blogspot.com Calculate how much you can borrow and where you can afford to buy. Work out the benefits of making principal and interest. This block calculates information about loans.

When Will My Child Start Kindergarten Calculator

Gambar
When Will My Child Start Kindergarten Calculator . School age calculator when can my child start school. Uncategorized › when will my child start kindergarten calculator texas what happened at the brook of kishon posted on july 3, 2022 posted in jalen. School Age Calculator WLPS from wlps.wa.edu.au School age calculator when can my child start school? Note that this graduation year calculator works with the us education system in mindit assumes that school starts in the fall graduation is in the. Victoria (vic), australian capital territory (act), queensland (qld), western australia (wa), northern territory (nt).

How To Calculate Mean In Google Sheets

Gambar
How To Calculate Mean In Google Sheets . The proportion of the dataset in this function can be specified either in percentages like 10%, 50%, etc. =stdev.s (b2:b21) next, we can highlight cells b22:b23 and drag the formulas over to the next two columns: Mean, Standard Deviation and Percentile on Google sheet.webm YouTube from www.youtube.com Next to explore, you'll see 'sum: Skip zeros in an average formula in google sheets. On your computer, open a spreadsheet in google sheets.

Dark Souls Scaling Calculator

Gambar
Dark Souls Scaling Calculator . It is a rating ranging from e to s of how well a weapon synergizes with a specific stat.these stats include strength, dexterity, magic (mainly. Big ideas math grade 7. Dark Souls Calculators DarkSoulStats from sites.google.com Going back to the spreadsheet we’ll find that the strength coefficient for the dark falchion is 30. Basic chemistry practice worksheet answers; No calculator that i know of.

Marriage Success Rate Calculator

Gambar
Marriage Success Rate Calculator . If venus is exalted or in quadrant or under the influence of jupiter, mercury and moon, then the native finds success in love marriage. Marriage compatibility calculator analyzes whether the rapport between the couple who are to be married will be effective in developing into an enduring union or not. Seth Klarman Quote “Value investing is at its core the marriage of a from quotefancy.com Check out this numerology trick to get the ages based on your birthday that marriage is possible for you. The calculator below can help estimate the financial impact of filing a joint tax return as a married couple (as opposed to filing separately as singles) based on 2022 federal income tax brackets and data specific to the united states. If you are on the 2nd, 11th, 20th or 29th date of birth then you are number 2.

Cost Of Equity Capital Calculator

Gambar
Cost Of Equity Capital Calculator . These are the capital asset pricing model, and. This is the formula to calculate the cost of equity under gordon model. Cost of capital from www.slideshare.net Wacc = (e / v) × r e + (d / v) × r d × (1 − t c) where: Cost of capital = $ 1,500,000. The cost of the external equity is equal to the current total equity minus the targeted equity.

Management Fee Calculation In Private Equity

Gambar
Management Fee Calculation In Private Equity . Now consider the following management fee calculation rates, which are typical of the rates seen in private equity funds: Access the most comprehensive pe database and make better business decisions. Do Private Equity returns justify lack of liquidity and fees from wealthmanagement.bnpparibas Inclusion of the fund’s expenses raises the expense ratio, or the total cost to the investor, to 1.40% per year1. “often addressed at the outset of negotiations on terms, lps will expect, at a minimum, to see detailed budgets to justify fees. C = 0.2*p + 0.2*c.

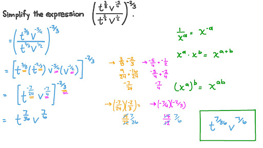
Simplify Fractions With Exponents Calculator

Gambar
Simplify Fractions With Exponents Calculator . When possible this calculator first reduces an improper fraction to lowest terms before finding the mixed. Adding and subtracting radical expressions calculator. Question Video Simplifying Expressions with Fractional and Negative from www.nagwa.com Note this identity also shows how to convert between exponents and roots. Converting from decimals to fractions is straightforward. When an exponent is 0, the result of the exponentiation of any base will always be 1, although some debate surrounds 0 0 being 1 or undefined.

Binomial Mean And Standard Deviation Calculator

Gambar
Binomial Mean And Standard Deviation Calculator . (the calculator also reports the cumulative probabilities. Here probability of getting head (p) is 0.5. Binomial Distribution Mean Variance Standard Derivation YouTube from www.youtube.com A coin is tossed five times. Here probability of getting head (p) is 0.5. That is, x ∼ b ( 10, 0.35).

Solar Panel Output Calculator Australia

Gambar
Solar Panel Output Calculator Australia . Orientation for fixed solar panels. This accesses data from the australian solar handbook to estimate the generated output for a solar system located in any part of australia. Solar Panel Installation Angle Calculator Circuit Diagram Images from circuitdiagramimages.blogspot.com This is an estimation only and assumes certain conditions such as hours of sunlight, position etc. If you have 3.3kw of panels on west and 3.3kw of panels on east, enter 3.3 against both w and e. And they are displayed in the following four tables.

Gross Pay Net Calculator

Gambar
Gross Pay Net Calculator . Before you use this calculator. Use this federal gross pay calculator to gross up wages based on net pay. FREE 6+ Sample Net Pay Calculator Templates in PDF Excel from www.sampletemplates.com The 2022/2023 uk real living wage is currently £11.05 in london and £9.90 elsewhere. The 2022/2023 uk minimum wage (national living wage) per hour is currently: This australian salary calculator will show you what your weekly, fortnightly, monthly, yearly income, net salary or gross salary will be after payg tax deductions taking into account the allowable deductions.

Texas Instruments Ti 84 Plus Ce Graphing Calculator Rose Gold

Gambar
Texas Instruments Ti 84 Plus Ce Graphing Calculator Rose Gold . Online at northwest arkansas community college bookstore. Choose from same day delivery, drive up or order pickup. Texas Instruments® TI84 Plus CE Color Graphing Calculator Rose Gold from www.pinterest.com Online at kentucky community &. Add both to your cart to see your savings! Find answers to the top 10 questions parents ask about ti graphing calculators.

Parametric Equation Calculator 3D

Gambar
Parametric Equation Calculator 3D . R ( φ) = i + sin φ w + 2 sin 2 φ 2 w 2. • equation of a line passing through two points in 3d • equation of a line given two points • equation of a circle calculator Graph 3d Parametric Equations Tessshebaylo from www.tessshebaylo.com For example to plot type and. Athforyou.net login online calculators 97; You can zoom in or out, add points or lines.

D 2Y Dx 2 Calculator

Gambar
D 2Y Dx 2 Calculator . Let us assume dy/dx as an variable r. Find an expression for its acceleration a after a time t. Solved Find D^2 Y/dx^2 In Terms Of X And Y Given X^2 + from www.chegg.com Have a look at the following steps and use them while solving the second order differential equation. Enter the function in the main input or load an example. F’’(x) = 15 x 2.

Act To Sat Calculator

Gambar
Act To Sat Calculator . You can also type in your score into the search box to pull up the relevant line of converted act or sat scores. Start by taking practice tests in both the act and sat. Texas Instruments TI34 II Solar / Scientific Calculator Algebra/SAT from www.ebay.com If you’d like to see them in their entirety. Act to sat conversion table you can see composite sat/act score concordance data below. Sat act sat act sat act;

Diagonal Of Cube Calculator

Gambar
Diagonal Of Cube Calculator . If we draw the diagonal of the lower base from the same vertex as the. A cube is also known as the square solid that has edges with all the same length. How to find the diagonal of a cube ACT Math from www.varsitytutors.com Here you can calculate the volume, surface area, diagonal of cube. To find the diagonal of a rectangle formula, you can divide a rectangle into two congruent right triangles, i.e., triangles with one angle of 90°.each triangle will have sides of length l and w and a hypotenuse of length d.you can use the pythagorean theorem to estimate the diagonal of a rectangle, which can be expressed with the following formula: This means that the length, width, and height of a cube is of equal measure, and each of its faces is a square.

Delta S Calculator Chemistry

Gambar
Delta S Calculator Chemistry . In fact, many scientists simply obtain delta s values from a table of standard values. What does delta’s tell you about a reaction? Solved For The Reaction Described By The Chemical Equatio... from www.chegg.com Postby viraj b 3a » mon jan 26, 2015 9:43 am. T is temperature in kelvin. Therefore, if the entropy of the system increases after a certain event, the value of delta s will be positive.

End Behavior Graphically Calculator

Gambar
End Behavior Graphically Calculator . There are few things to look for to determine whether the end behavior is down and down, up and down, up and up. 1. To understand the behaviour of a polynomial graphically all one one needs is the degree (order) and leading coefficient. How To Determine End Behavior Without Graphing from nice-turials.blogspot.com Students will use a slider to scroll through the graphs of power functions with a coefficient of positive and negative 1 and determine. Ixl's smartscore is a dynamic measure of progress towards mastery, rather than a percentage grade. The end behavior for rational functions and functions involving radicals is a little more complicated than for polynomials.

Volts To Joules Calculator

Gambar
Volts To Joules Calculator . Volts (v) to joules (j) calculator. V (v) = e (j) / q (c) therefore; Amps to Watts Electrical Conversion Calculator Inch Calculator from www.inchcalculator.com Led light power consumption calculation & led energy bill calculator. Joules (j) to volts (v) conversion calculator. Joule = volt × coulomb.

How To Calculate Expected Value In R

Gambar
How To Calculate Expected Value In R . For example, the following probability distribution tells us the probability that a certain soccer team scores a certain number of goals in a given game: For example, suppose in a certain game there is a 5% chance of winning $100, a 50% chance of winning $0, and a 45% chance of losing $20. How to Get the Expected Value by Calculating x * p(x) in R. [HD] YouTube from www.youtube.com To calculate expected value of a probability distribution in r, we can use one of the following three methods: Calculating conditional expected value in r. This tutorial provides examples of how to create this type of plot in base r and ggplot2.

Ti 84 Plus Calculator

Gambar
Ti 84 Plus Calculator . Next we will describe the functions of this calculator from basic to very complex. 1) pick your favorite color, make it your favorite calculator ever. Texas Instruments TI84 Plus Graphing Calculator YELLOW from ozonexpress.ma Press enter (located in the lower right corner of the. Our library includes mario, flappy bird, geometry dash, tetris, pacman and more! For a student with major high school math and science, this is an ideal tools with technology features to enable them entering.

Cca Tax Shield Calculator

Gambar
Cca Tax Shield Calculator . On the right are the calculations assuming the asset is sold for $100,000 in year 5. A) calculate the present value of the cca tax shield associated with the aircraft purchases and the hangar purchase. Cca Tax Shield Equation Tessshebaylo from www.tessshebaylo.com Save save cca tax shield formula for later. While company a does have a higher net income, all else being equal, company b would have more cash. Interest tax shield = interest expense deduction x effective tax rate.

Car Payment Calculator Nc

Gambar
Car Payment Calculator Nc . We understand that finding out the finances for your next new or used car can be a difficult task. I = your monthly interest rate. USED FORD F1 1950 for sale in Harbinger, NC Midgette Auto Sales Inc from www.midgetteauto.com Your lender likely lists interest rates as an annual figure, so you’ll need to divide by 12, for each. That’s why we offer you a way to calculate your car loan in charlotte nc. I = your monthly interest rate.

Date Calculator Nepali To English

Gambar
Date Calculator Nepali To English . From this english date converter tool. You can use this tool to convert your date of birth or any nepali dates for official purpose. Nepali Date Converter Android Apps on Google Play from play.google.com Jan, feb, mar, dec etc) for nepali full month is displayed; Are you looking for age between two specific dates, time gap calculator may help you. Nepali to english date converter tool is a free online software change nepali date.